Free Access

Fig. 1

thumbnail

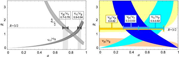
Ratio of the frequencies of the fundamental discoseismic modes (based on Wagoner et al. 2001). Left: ratio of νc to νg. The spread of two functions corresponds to the uncertainty in the speed of sound. The horizontal dotted line denotes the 3:2 frequency ratio. Values in the boxes evaluate the spin ranges required by this ratio. Right: the same consideration, but including the p-modes.

Current usage metrics show cumulative count of Article Views (full-text article views including HTML views, PDF and ePub downloads, according to the available data) and Abstracts Views on Vision4Press platform.

Data correspond to usage on the plateform after 2015. The current usage metrics is available 48-96 hours after online publication and is updated daily on week days.

Initial download of the metrics may take a while.