Free Access

Fig. 12

thumbnail

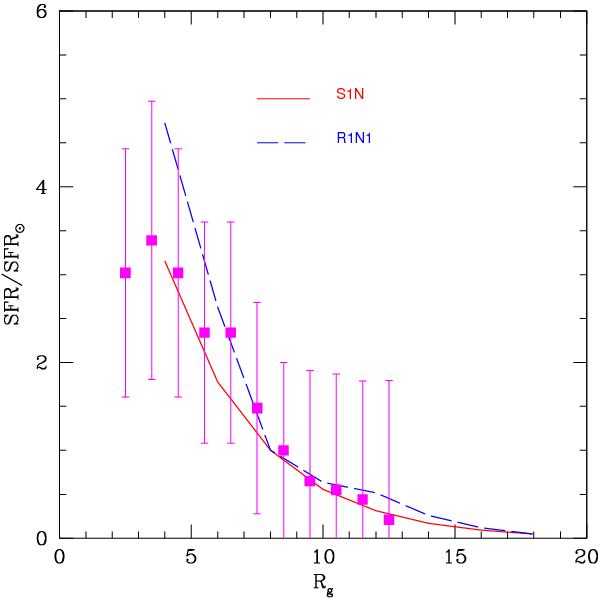
The SF rate normalized to the solar values as a function of the galactocentric distance for the one-infall model with no inside-out formation. The data are taken by Rana et al. (1991) and are reported with the magenta points and relative error bars. With the red solid line we report, the reference static model S1N, whereas the dashed blue line is the model with a radial inflow of  − 1 km s-1 (R1N1).

Current usage metrics show cumulative count of Article Views (full-text article views including HTML views, PDF and ePub downloads, according to the available data) and Abstracts Views on Vision4Press platform.

Data correspond to usage on the plateform after 2015. The current usage metrics is available 48-96 hours after online publication and is updated daily on week days.

Initial download of the metrics may take a while.