Free Access

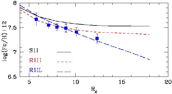
Fig. 8

thumbnail

Radial abundance gradient of iron. The black solid line refers to the one infall model without threshold and with inside-out formation (S1I). The red short dashed line represents the model with a radial inflow of 1 km s-1 (R1I1), and the blue long-dashed line the best-fit model using a variable velocity for the radial inflow (R1IL). The mean values and relative errors from Cepheids by Andrievsky et al. (2002a,b) are reported with filled blue squares.

Current usage metrics show cumulative count of Article Views (full-text article views including HTML views, PDF and ePub downloads, according to the available data) and Abstracts Views on Vision4Press platform.

Data correspond to usage on the plateform after 2015. The current usage metrics is available 48-96 hours after online publication and is updated daily on week days.

Initial download of the metrics may take a while.