Free Access

Fig. 10

thumbnail

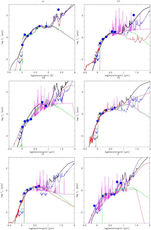
Best-fit SEDs for candidates with available constraints at 24 μm: z1 and Y7 (sources clearly detected, top row), Y8 (source highly contaminated, middle left panel), and Y3, Y4, and J1 (non-detection, 1σ flux  <  38.7 μJy). Different spectral templates are displayed. Green (pink) lines show the best-fit solutions at z > 7 using our standard templates based on Bruzual & Charlot models without (with) nebular lines. Black and red lines show the best-fits at low redshift (z < 4) using the templates from the GRASIL models (Silva et al. 1998) and the SWIRE starburst-AGN templates of Polletta et al. (2008), respectively. Blue lines show best-fit solutions using the empirical LIRG–ULIRG templates of Rieke et al. (2009).

This figure is made of several images, please see below:

Current usage metrics show cumulative count of Article Views (full-text article views including HTML views, PDF and ePub downloads, according to the available data) and Abstracts Views on Vision4Press platform.

Data correspond to usage on the plateform after 2015. The current usage metrics is available 48-96 hours after online publication and is updated daily on week days.

Initial download of the metrics may take a while.