Free Access

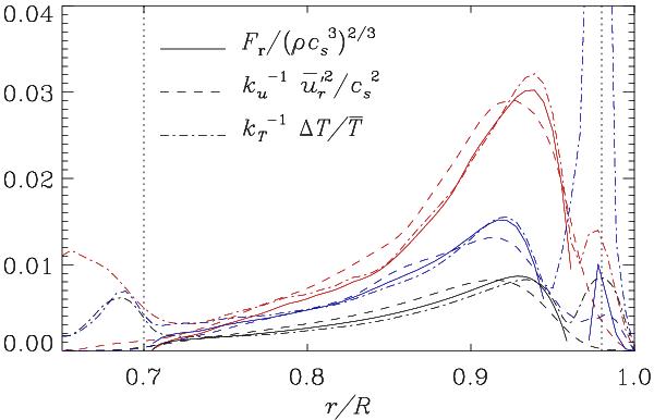
Fig. 10

thumbnail

Normalized radial turbulent heat flux raised to the 2/3 power as a function of r (x) (solid lines). The dashed and dot-dashed lines correspond to the squares of the radial velocity and temperature fluctuations scaled with the coefficients ku and kT, respectively. The upper (red), middle (blue) and lower (black) curves correspond to Runs cA0, cF0 and A0, respectively.

Current usage metrics show cumulative count of Article Views (full-text article views including HTML views, PDF and ePub downloads, according to the available data) and Abstracts Views on Vision4Press platform.

Data correspond to usage on the plateform after 2015. The current usage metrics is available 48-96 hours after online publication and is updated daily on week days.

Initial download of the metrics may take a while.