Free Access

Fig. 3

thumbnail

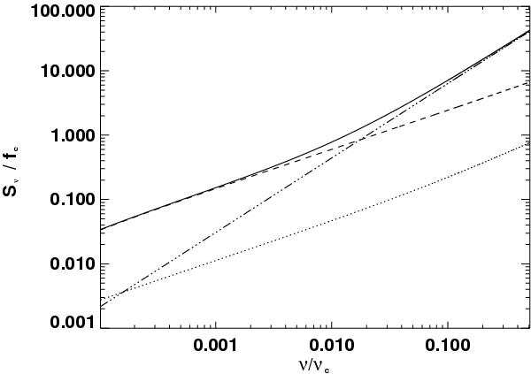
Predicted free-free emission from a colliding wind binary. We have adopted the parameters v1 = 103 km s-1, 1 = 1.25 × 10-5 M yr-1, and v2 = 103 km s-1, 2 = 5 × 10-5 M yr-1 for the wind sources. The binary separation is set to D = 4 AU. The dotted and dashed lines represent the fluxes (∝ ν0.6) from the wind sources 1 and 2 (see also Fig. 1), respectively. The intrinsic thermal emission from the WCR (dot-dashed line) and the total emission (solid line) from the binary system are also shown. The behavior of the curves is described in the main text.

Current usage metrics show cumulative count of Article Views (full-text article views including HTML views, PDF and ePub downloads, according to the available data) and Abstracts Views on Vision4Press platform.

Data correspond to usage on the plateform after 2015. The current usage metrics is available 48-96 hours after online publication and is updated daily on week days.

Initial download of the metrics may take a while.