Free Access

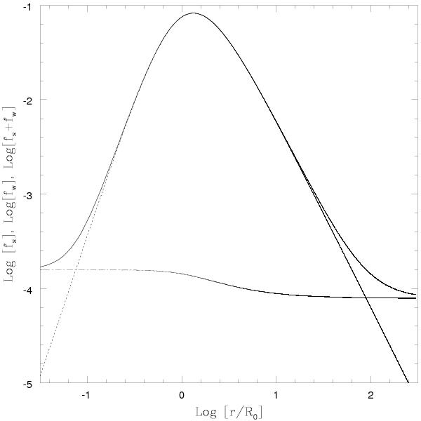
Fig. A.1

thumbnail

Nondimension emission measure as function of r/R0. The dotted and dashed lines represent the functions fs of the shocked layer, and fw of the stellar winds, respectively. The total emission measure fs + fw is also shown (solid line). The physical description of the plot is given in the text.

Current usage metrics show cumulative count of Article Views (full-text article views including HTML views, PDF and ePub downloads, according to the available data) and Abstracts Views on Vision4Press platform.

Data correspond to usage on the plateform after 2015. The current usage metrics is available 48-96 hours after online publication and is updated daily on week days.

Initial download of the metrics may take a while.