Free Access

Fig. 4

thumbnail

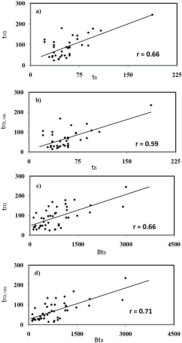
Time characteristics of FD vs. solar wind disturbance parameters: a) FD duration vs. disturbance duration, b) FD recovery period vs. disturbance duration, c) FD duration vs. the product BtB, d) FD recovery period vs. the product BtB. The data is taken from the measurement II data set. tFD, tB, and tFD,rec are given in hours (h), BtB is given in nT  ×  h.

Current usage metrics show cumulative count of Article Views (full-text article views including HTML views, PDF and ePub downloads, according to the available data) and Abstracts Views on Vision4Press platform.

Data correspond to usage on the plateform after 2015. The current usage metrics is available 48-96 hours after online publication and is updated daily on week days.

Initial download of the metrics may take a while.