Free Access

Fig. 2

thumbnail

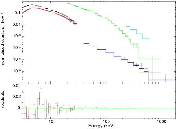
Count spectrum of Cen A using INTEGRAL JEM-X1 and JEM-X2 (3−30 keV), IBIS/ISGRI (20−1000 keV), IBIS/PICsIT (234−632 keV) and SPI data (40−1400 keV). The residuals in the lower panel are with respect to the best-fitting Comptonisation model (compPS).

Current usage metrics show cumulative count of Article Views (full-text article views including HTML views, PDF and ePub downloads, according to the available data) and Abstracts Views on Vision4Press platform.

Data correspond to usage on the plateform after 2015. The current usage metrics is available 48-96 hours after online publication and is updated daily on week days.

Initial download of the metrics may take a while.