Free Access

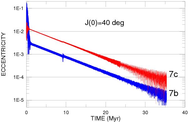
Fig. 10

thumbnail

Orbit evolution of two planets with masses 8 and 15 Earth masses in a CoRoT-7-like system with mutually inclined orbits. The damping of the eccentricities is due to the tides on the inner planet only.

Current usage metrics show cumulative count of Article Views (full-text article views including HTML views, PDF and ePub downloads, according to the available data) and Abstracts Views on Vision4Press platform.

Data correspond to usage on the plateform after 2015. The current usage metrics is available 48-96 hours after online publication and is updated daily on week days.

Initial download of the metrics may take a while.