Free Access

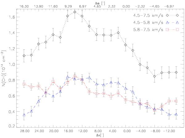
Fig. 6

thumbnail

Column densities for CH along the observed lines of sight in TMC-1. The black diamonds represent column densities calculated from the full velocity range and the blue triangles and red squares represent column densities calculated from velocity ranges corresponding to the narrow and wide Gaussian components respectively.

Current usage metrics show cumulative count of Article Views (full-text article views including HTML views, PDF and ePub downloads, according to the available data) and Abstracts Views on Vision4Press platform.

Data correspond to usage on the plateform after 2015. The current usage metrics is available 48-96 hours after online publication and is updated daily on week days.

Initial download of the metrics may take a while.