Free Access

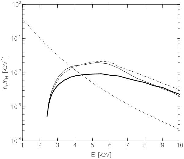
Fig. 12

thumbnail

Differential density of accelerated upstream electrons for a wavy shock with θB = 88°. The dotted line shows seed population (initial distribution function (19)), the thick line is for a corresponding smoothed shock, the thin solid and dashed lines are for a wavy shock with A / L = 0.1 and 0.2, respectively. The differential density was averaged along the shock front.

Current usage metrics show cumulative count of Article Views (full-text article views including HTML views, PDF and ePub downloads, according to the available data) and Abstracts Views on Vision4Press platform.

Data correspond to usage on the plateform after 2015. The current usage metrics is available 48-96 hours after online publication and is updated daily on week days.

Initial download of the metrics may take a while.