Free Access

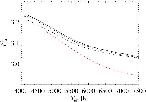
Fig. 4

thumbnail

Total visibility plotted as a function of the effective temperature Teff, for log g = 4.5 and [M/H] =  +0.0. The solid line shows the complete computation, the dotted-dashed line corresponds to the simplification of M09, the dashed line shows the approximated results obtained by using integrated gK LD profiles. The red dashed line is obtained by using the LD laws published by Sing (2010).

Current usage metrics show cumulative count of Article Views (full-text article views including HTML views, PDF and ePub downloads, according to the available data) and Abstracts Views on Vision4Press platform.

Data correspond to usage on the plateform after 2015. The current usage metrics is available 48-96 hours after online publication and is updated daily on week days.

Initial download of the metrics may take a while.