Free Access

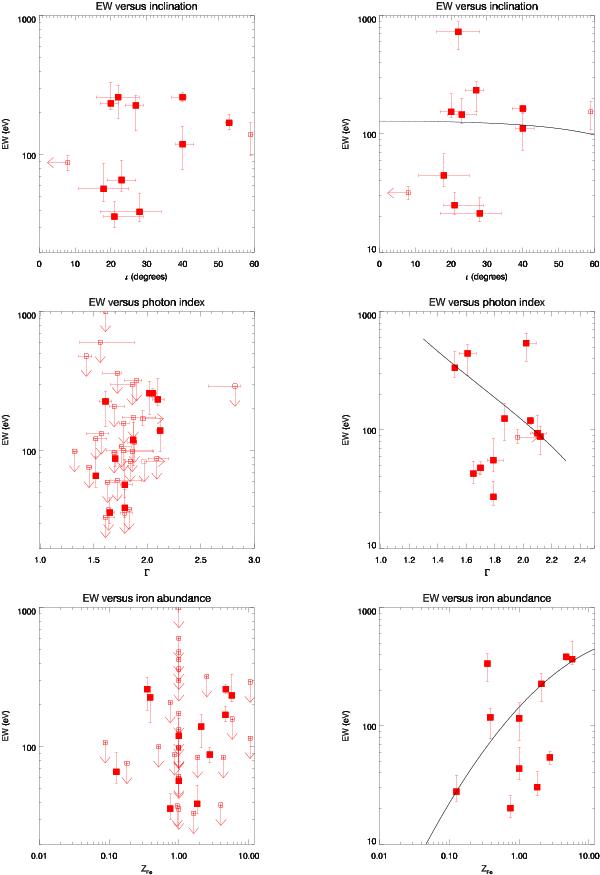
Fig. 7

thumbnail

EW of the relativistically broadened iron line in the FERO+GREDOS sample against the: disc inclination angle (upper panels); primary illuminating continuum power-law spectral index (medium panels); and iron abundance (lower panels). The left column shows the whole sample, the right column shows only the data points corresponding to line detections, after correction of the EW values for the dependence on the other two parameters according to George & Fabian (1991) and using the following common reference values: Γ0 = 1.9; ı0 = 30°; ZFe,0 = Z. The solid line indicates the predicted behaviour according to George & Fabian (1991). Filled symbols indicate detections.

This figure is made of several images, please see below:

Current usage metrics show cumulative count of Article Views (full-text article views including HTML views, PDF and ePub downloads, according to the available data) and Abstracts Views on Vision4Press platform.

Data correspond to usage on the plateform after 2015. The current usage metrics is available 48-96 hours after online publication and is updated daily on week days.

Initial download of the metrics may take a while.