Free Access

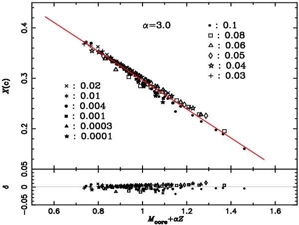
Fig. 4

thumbnail

The relation between the total carbon abundance of WDs before SNe Ia explosion, the initial WD mass and metallicity, where the points which may not contribute to SNe Ia are cut off. The solid line is the best-fit linear relation. The lower panel shows the difference between the points and the fitted line.

Current usage metrics show cumulative count of Article Views (full-text article views including HTML views, PDF and ePub downloads, according to the available data) and Abstracts Views on Vision4Press platform.

Data correspond to usage on the plateform after 2015. The current usage metrics is available 48-96 hours after online publication and is updated daily on week days.

Initial download of the metrics may take a while.