Free Access

Fig. 6

thumbnail

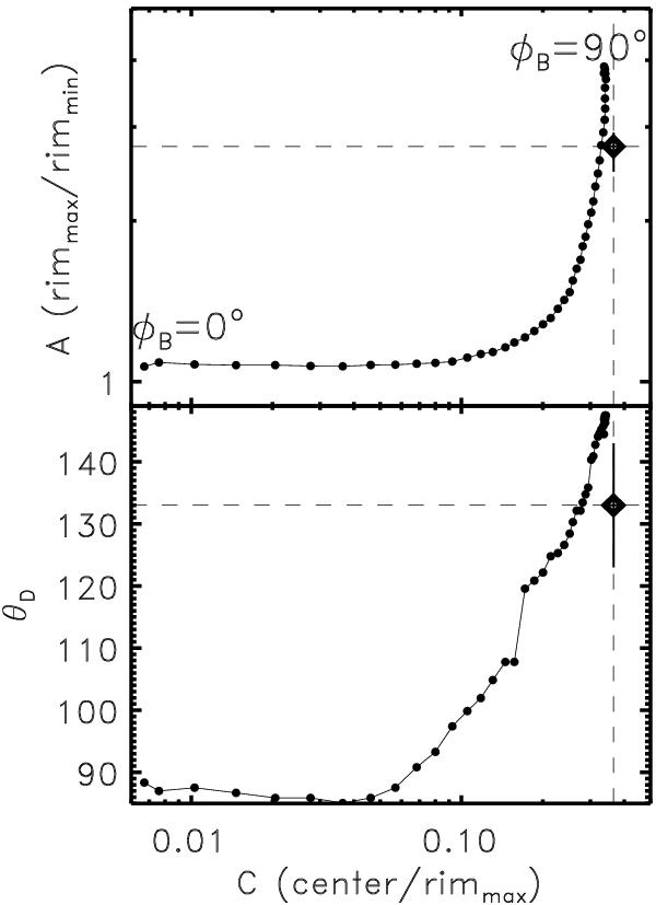
Top panel: same as Fig. 4 (top panel) but for the GRAD2 model and quasi-perpendicular scenario. There is no angle shown in this case, because B is always aligned with . Lower panel: scatter plot of θD − C parameters. We overplotted the values observed in SN1006 (diamonds).

Current usage metrics show cumulative count of Article Views (full-text article views including HTML views, PDF and ePub downloads, according to the available data) and Abstracts Views on Vision4Press platform.

Data correspond to usage on the plateform after 2015. The current usage metrics is available 48-96 hours after online publication and is updated daily on week days.

Initial download of the metrics may take a while.