Free Access

Fig. 1

thumbnail

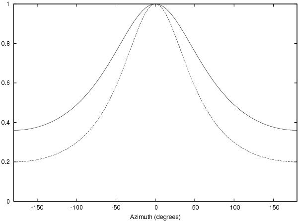
Illumination of the circumbinary disk by an effectively point source located at the compact object. The azimuthal angle is measured from the line connecting the companion with the compact object; thus intensity 1 at azimuthal angle 0 degrees corresponds to illumination of that patch of the circumbinary ring closest to the compact object. The illumination pattern rotates round the ring with a period of 13.08 days. The wider distribution corresponds to a geometry for equal masses with the orbital radius of the compact object A/2 and of the circumbinary ring 2A. The narrower corresponds to a radius of the ring orbit 1.6A and a somewhat smaller mass ratio. Both geometries are plausible.

Current usage metrics show cumulative count of Article Views (full-text article views including HTML views, PDF and ePub downloads, according to the available data) and Abstracts Views on Vision4Press platform.

Data correspond to usage on the plateform after 2015. The current usage metrics is available 48-96 hours after online publication and is updated daily on week days.

Initial download of the metrics may take a while.