Free Access

Fig. 3

thumbnail

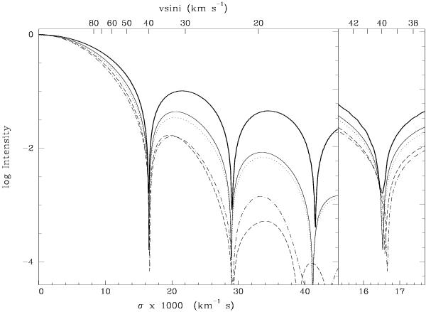
Fourier transform of the CCF of 5 synthetic spectra (Δλ = 120 Å) with Teff = 9000 K, vsini = 40  km s-1  and convolved with the following Voigt profiles: thick solid line: original rotational profile. Thin solid line: gfwhm = 0.2   Å. Dotted line: gfwhm = 0.1   Å and lfwhm = 0.1   Å. Dashed line: gfwhm = 0.4   Å. Dot-dashed line: gfwhm = 0.2   Å and lfwhm = 0.2   Å.

Current usage metrics show cumulative count of Article Views (full-text article views including HTML views, PDF and ePub downloads, according to the available data) and Abstracts Views on Vision4Press platform.

Data correspond to usage on the plateform after 2015. The current usage metrics is available 48-96 hours after online publication and is updated daily on week days.

Initial download of the metrics may take a while.