Free Access

Fig. 12

thumbnail

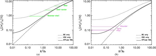
MIPS 24 μm to MIPS 70 μm ratio as a function of the radiation field intensity, as predicted by the model of Compiègne et al. (2011). Several dust-size distribution are used: (dashed line) BGs only, (dotted-line) VSGs only, and (solid line) a mixture of BGs and VSGs. The MIPS24-to-MIPS70 ratio for several structures within M 16 is indicated. The radiation field spectral shape is as described in the text with a) no extinction, or b) A(FUV) = 1 mag and the Lyman continuum photons removed.

This figure is made of several images, please see below:

Current usage metrics show cumulative count of Article Views (full-text article views including HTML views, PDF and ePub downloads, according to the available data) and Abstracts Views on Vision4Press platform.

Data correspond to usage on the plateform after 2015. The current usage metrics is available 48-96 hours after online publication and is updated daily on week days.

Initial download of the metrics may take a while.