Free Access

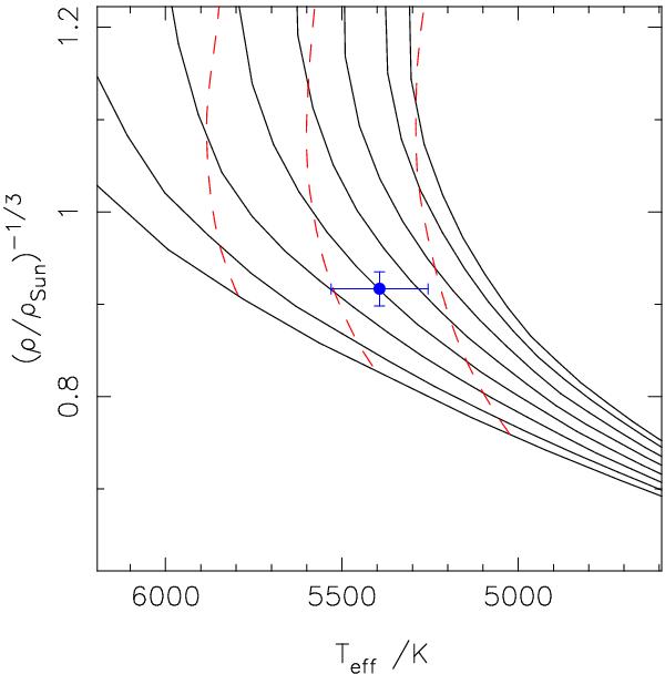
Fig. 5

thumbnail

Isochrone tracks from Demarque et al. (2004) for WASP-39 using the best-fit metallicity of [Fe/H]  =  −0.12 dex and stellar density 1.297   ρ. Solid lines are for isochrones of, left to right: 1.0, 3.0, 6.0, 9.0, 12.0, 15.0, 18.0, and 20.0 Gyr. Dashed lines are for mass tracks of, left to right: 1.0, 0.9, 0.8 M.

Current usage metrics show cumulative count of Article Views (full-text article views including HTML views, PDF and ePub downloads, according to the available data) and Abstracts Views on Vision4Press platform.

Data correspond to usage on the plateform after 2015. The current usage metrics is available 48-96 hours after online publication and is updated daily on week days.

Initial download of the metrics may take a while.