Free Access

Fig. 1

thumbnail

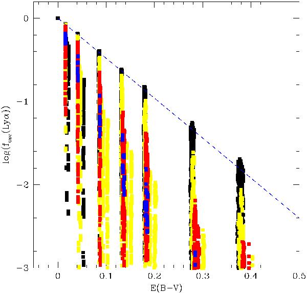
Predicted Lyα escape fractions from our 6240 models as a function of EB − V. Yellow (red) symbols show the simulations with dust-to-gas ratios within a factor 10 (2) of the Galactic value. Among the models with dust-to-gas ratios within a factor 2 of the Galactic value, those with vexp = 200 km s-1 are shown by blue symbols. Black symbols show all the remaining models. The blue dashed line shows an attenuation with kλ = 12. corresponding to the Calzetti et al. (2000) law. Values above this line are due to numerical noise.

Current usage metrics show cumulative count of Article Views (full-text article views including HTML views, PDF and ePub downloads, according to the available data) and Abstracts Views on Vision4Press platform.

Data correspond to usage on the plateform after 2015. The current usage metrics is available 48-96 hours after online publication and is updated daily on week days.

Initial download of the metrics may take a while.