Free Access

Fig. 6

thumbnail

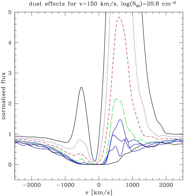
Predicted normalised (at  ± 5900 km s-1) Lyα line profiles for an expanding shell with vexp = 150 km s-1, b = 40 km s-1, log NHI = 20.8 cm-2, and varying dust content described by τa = 0., 0.2, 0.5, 1., 1.5, 2., 3. and 4 (from top to bottom). Note how the increasing dust content progressively reduces the line to “carve” out a damped (Voigt-like) profile for the highest dust contents.

Current usage metrics show cumulative count of Article Views (full-text article views including HTML views, PDF and ePub downloads, according to the available data) and Abstracts Views on Vision4Press platform.

Data correspond to usage on the plateform after 2015. The current usage metrics is available 48-96 hours after online publication and is updated daily on week days.

Initial download of the metrics may take a while.