Free Access

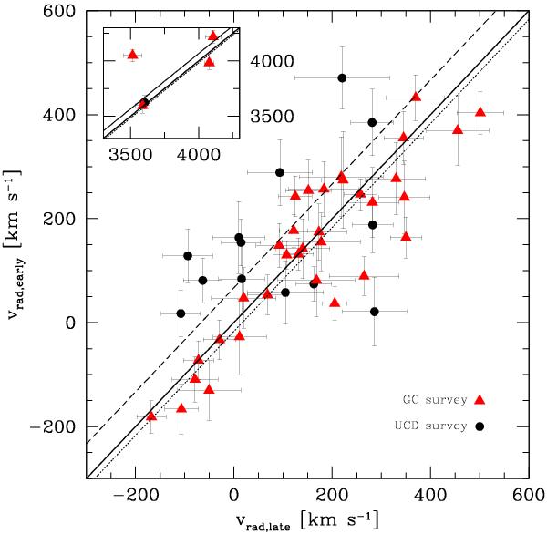
Fig. 3

thumbnail

Comparison of radial velocities for objects that were observed twice, in either the GC survey (red triangles) or the UCD survey (black dots). Plotted is the radial velocity derived from the earlier observation (vrad,early) versus the one derived from the later observation (vrad,late). The inset in the upper left corner shows the comparison for cluster GCs/UCDs. The solid line is the one-to-one relation, the dotted (dashed) line is the fitted relation with slope one for the GC (UCD) data points.

Current usage metrics show cumulative count of Article Views (full-text article views including HTML views, PDF and ePub downloads, according to the available data) and Abstracts Views on Vision4Press platform.

Data correspond to usage on the plateform after 2015. The current usage metrics is available 48-96 hours after online publication and is updated daily on week days.

Initial download of the metrics may take a while.