Free Access

Fig. 7

thumbnail

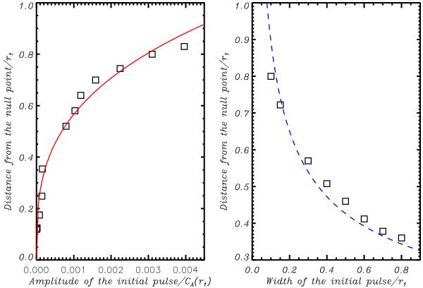
Distance from the null-point to the position of the fast shock formation as a function of the amplitude of initial pulse (left panel) and width of initial pulse (right panel). The solid curves show the best-fitting exponential functions. Spatial coordinates and amplitude are measured in units of r1 and Alfvén speed CA(r1).

Current usage metrics show cumulative count of Article Views (full-text article views including HTML views, PDF and ePub downloads, according to the available data) and Abstracts Views on Vision4Press platform.

Data correspond to usage on the plateform after 2015. The current usage metrics is available 48-96 hours after online publication and is updated daily on week days.

Initial download of the metrics may take a while.