Free Access

Fig. A.2

thumbnail

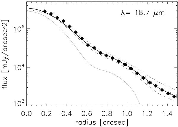
Radial emission profiles in the Q band at 18.7 μm, calculated assuming elliptic annuli (see text for details). Displayed are: VISIR image (diamonds) and reference PSF (grey line). The errors on the PSF are displayed as horizontal error bars, those on the noise as vertical ones. Overplotted are PSF-convolved disk models with a varying surface density power law of p = 0.0, 1.0 and 2.0 (dotted, solid and dashed respectively). NOTE: radius refers to the semi-major axis of the ellipse, which reflects the physical radius where the radiation is emitted.

Current usage metrics show cumulative count of Article Views (full-text article views including HTML views, PDF and ePub downloads, according to the available data) and Abstracts Views on Vision4Press platform.

Data correspond to usage on the plateform after 2015. The current usage metrics is available 48-96 hours after online publication and is updated daily on week days.

Initial download of the metrics may take a while.