Free Access

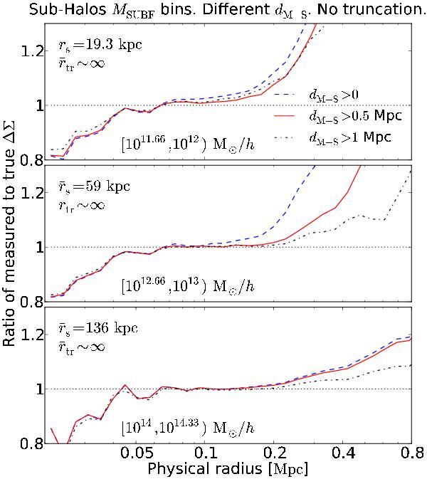
Fig. 6

thumbnail

Results from mock clusters, ratio of the measured ΔΣ(ξ) to the one we input, versus the projected physical radius ξ. Only the results for a selection of mass bins, for the case with non-truncated NFWs are presented. The mass ranges are given. Blue dashed lines: whole subhalo sample. Solid red lines: subhalos with dM − S > 0.5 Mpc. Black dashed-dotted lines: subhalos with dM − S > 1 Mpc. The dotted black line, where the ratio is one, is a visual reference. The different selection criteria do not alter significantly the mean rs.

Current usage metrics show cumulative count of Article Views (full-text article views including HTML views, PDF and ePub downloads, according to the available data) and Abstracts Views on Vision4Press platform.

Data correspond to usage on the plateform after 2015. The current usage metrics is available 48-96 hours after online publication and is updated daily on week days.

Initial download of the metrics may take a while.