Free Access

Fig. 4

thumbnail

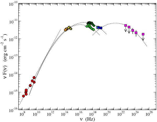
The SED of 1FGL J0137.8+5814. From lower to higher frequencies we report radio data up to 5 GHz (red circles) and data from 2MASS (orange circles), SDSS-DR8 (yellow circles), Swift-XRT (light green circles), XMM-MOS (dark green circles), Swift-BAT (cyan square), Integral-IBIS (blue squares), and Fermi-LAT (magenta squares). Data are fitted with a power-law model in the radio band; a log-parabolic model is used to emphasise the synchrotron and inverse Compton component of this high-energy synchrotron peak (HSP) BL Lac object.

Current usage metrics show cumulative count of Article Views (full-text article views including HTML views, PDF and ePub downloads, according to the available data) and Abstracts Views on Vision4Press platform.

Data correspond to usage on the plateform after 2015. The current usage metrics is available 48-96 hours after online publication and is updated daily on week days.

Initial download of the metrics may take a while.