Free Access

Fig. 2

thumbnail

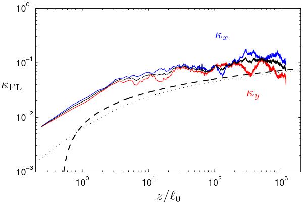
Perpendicular field line diffusion coefficient, κFL, for isotropic magnetostatic turbulence with vanishing magnetic helicity (i.e., axisymmetric). Shown are the simulation results for the x and y directions (blue and red lines, respectively), the averaged value (black) as well as the perpendicular diffusion coefficient. The dashed and dotted lines illustrate the quasi-linear result from Eqs. (5)and (6), respectively.

Current usage metrics show cumulative count of Article Views (full-text article views including HTML views, PDF and ePub downloads, according to the available data) and Abstracts Views on Vision4Press platform.

Data correspond to usage on the plateform after 2015. The current usage metrics is available 48-96 hours after online publication and is updated daily on week days.

Initial download of the metrics may take a while.