Free Access

Fig. 2

thumbnail

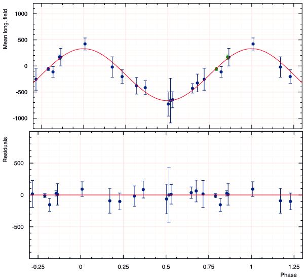
Phase diagram with the best sinusoidal fit for the longitudinal magnetic field measurements with a reduced χ2 = 0.46. The residuals (Observed – Calculated) are shown in the lower panel. The two FORS 1 measurements appear in green.

This figure is made of several images, please see below:

Current usage metrics show cumulative count of Article Views (full-text article views including HTML views, PDF and ePub downloads, according to the available data) and Abstracts Views on Vision4Press platform.

Data correspond to usage on the plateform after 2015. The current usage metrics is available 48-96 hours after online publication and is updated daily on week days.

Initial download of the metrics may take a while.