Highlight
Free Access

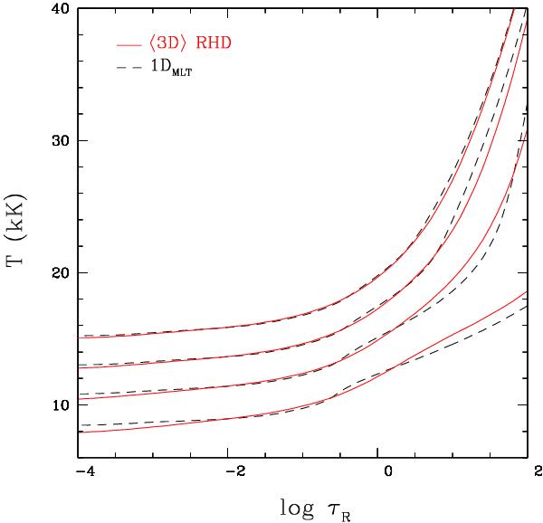
Fig. 3

thumbnail

Temperatures versus Rosseland optical depth for  ⟨ 3D ⟩  (solid lines) and 1DMLT (dashed lines) non-gray simulations at Teff = 11   300, 11 975, 12 390 and 12 800 K (shifted on the vertical axis by 0, 2, 4 and 6 kK, respectively, for clarity).

Current usage metrics show cumulative count of Article Views (full-text article views including HTML views, PDF and ePub downloads, according to the available data) and Abstracts Views on Vision4Press platform.

Data correspond to usage on the plateform after 2015. The current usage metrics is available 48-96 hours after online publication and is updated daily on week days.

Initial download of the metrics may take a while.