Free Access

Fig. 2

thumbnail

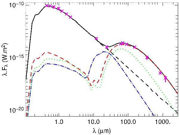
Fluxes of the HR 8799 star/disk system are plotted as a function of wavelength (purple crosses), along with the SED model with the parameters listed in Table 1 (solid black line). Contributions from the stellar flux (black dashed line) and scattered and emitted light from the asteroid belt (blue dash-dot line), the Kuiper belt (dashed red line), and outer halo (green dotted line).

Current usage metrics show cumulative count of Article Views (full-text article views including HTML views, PDF and ePub downloads, according to the available data) and Abstracts Views on Vision4Press platform.

Data correspond to usage on the plateform after 2015. The current usage metrics is available 48-96 hours after online publication and is updated daily on week days.

Initial download of the metrics may take a while.