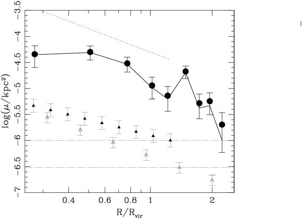
Fig. 5

Surface density of candidate satellites (filled circles) as a function of radius. The full line is the surface density of satellites after accounting for position interlopers. The dotted line indicates the surface density radial slope of a NFW halo. The full and open triangles represent the surface density of satellites found by Sales et al. (2005) and Chen et al. (2006), respectively. The dashed lines show the estimate of the interlopers velocity for μ = 3 × 10-7 kpc-2 and μ = 10-6 kpc-2.
Current usage metrics show cumulative count of Article Views (full-text article views including HTML views, PDF and ePub downloads, according to the available data) and Abstracts Views on Vision4Press platform.
Data correspond to usage on the plateform after 2015. The current usage metrics is available 48-96 hours after online publication and is updated daily on week days.
Initial download of the metrics may take a while.