Free Access

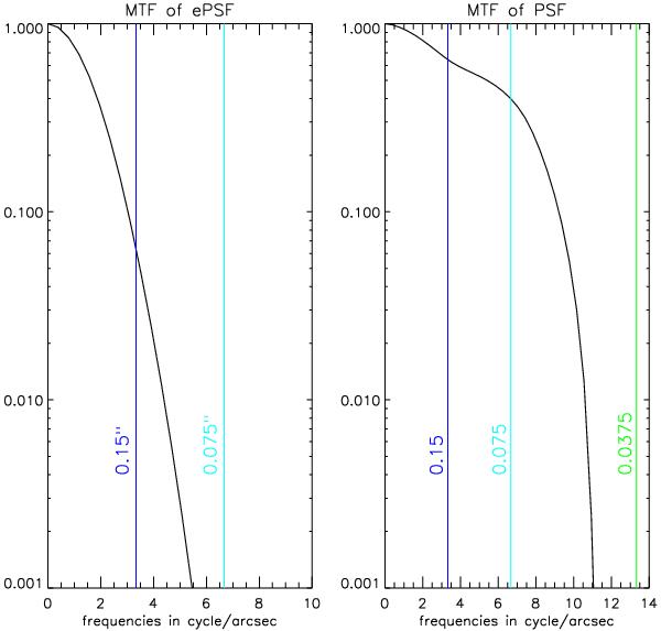
Fig. 4

thumbnail

(right) MTF[PSF] and (left) MTF[ePSF] at λ ≈ 8000 Å, for a mirror size of 2 m. The green line stands for a pixel scale of pvis = 0.0375′′, cyan pvis = 0.075′′, and blue pvis = 0.15′′. The ePSF comes from equation with a pixel scale of pvis = 0.075′′, a jitter σj ≈ 0.04 and a diffusion σd = 0.04. The colors represents different pixel scales studied for the optical camera in arcsec. The pixel scale of the NIR camera is explained in Eq. (14).

Current usage metrics show cumulative count of Article Views (full-text article views including HTML views, PDF and ePub downloads, according to the available data) and Abstracts Views on Vision4Press platform.

Data correspond to usage on the plateform after 2015. The current usage metrics is available 48-96 hours after online publication and is updated daily on week days.

Initial download of the metrics may take a while.