Free Access

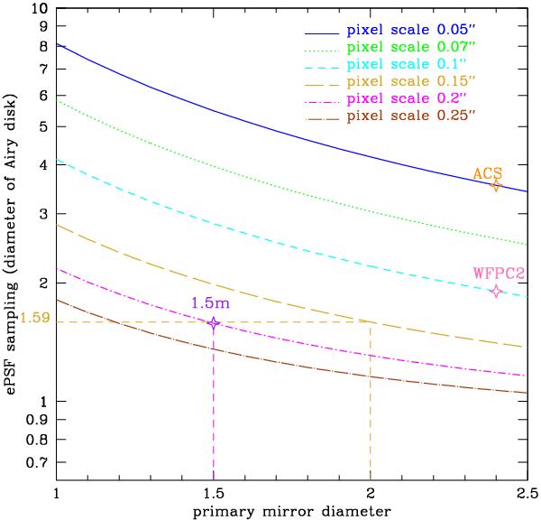
Fig. 5

thumbnail

ePSF sampling as a function of primary mirror diameter for different pixel scale at 800 nm. The pink and orange points represent respectively the WFPC2, and ACS camera of the Hubble Space Telescope. The purple point represents a mirror size of 1.5 m and a pixel scale of 0.2′′.

Current usage metrics show cumulative count of Article Views (full-text article views including HTML views, PDF and ePub downloads, according to the available data) and Abstracts Views on Vision4Press platform.

Data correspond to usage on the plateform after 2015. The current usage metrics is available 48-96 hours after online publication and is updated daily on week days.

Initial download of the metrics may take a while.