Free Access

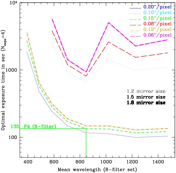
Fig. 8

thumbnail

Minimum exposure time for WL surveys as a function of wavelength integrated in filters of resolution ℛ = 3.2. The minimal exposure time is defined in Eq. (19) and corresponds to the photon noise dominating detector noises. It takes into account the mirror size, the pixel scale, and the filter efficiency. The thickness of the lines grows with the mirror size.

Current usage metrics show cumulative count of Article Views (full-text article views including HTML views, PDF and ePub downloads, according to the available data) and Abstracts Views on Vision4Press platform.

Data correspond to usage on the plateform after 2015. The current usage metrics is available 48-96 hours after online publication and is updated daily on week days.

Initial download of the metrics may take a while.