Free Access

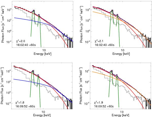
Fig. 14

thumbnail

RHESSI photon spectra at times corresponding to the flare peak (bottom), and the smaller, earlier peak in the 12–25 keV light curve (top). The data for both peaks is fitted with two models; a single thermal component (red) plus thick target model of accelerated electrons (blue), and a pair of thermal components (orange and red).

This figure is made of several images, please see below:

Current usage metrics show cumulative count of Article Views (full-text article views including HTML views, PDF and ePub downloads, according to the available data) and Abstracts Views on Vision4Press platform.

Data correspond to usage on the plateform after 2015. The current usage metrics is available 48-96 hours after online publication and is updated daily on week days.

Initial download of the metrics may take a while.