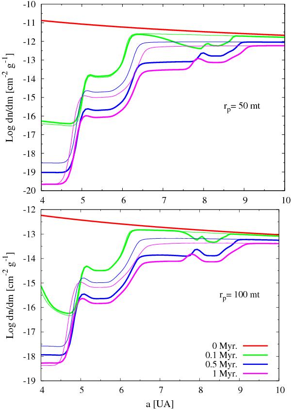
Fig. 4

Time evolution of the surface density of solids for small planetesimals in a disk with power index p = 2. Thin lines correspond to the isolated formation of Jupiter, thick lines correspond to the simultaneous formation of the giant planets. Evidently, the presence of Saturn significantly reduces the surface density of solids at Jupiter’s location by the accretion of small planetesimals. The presence of Saturn delayed the formation time of Jupiter by a factor ~ 2 (color figure only available in the electronic version).
Current usage metrics show cumulative count of Article Views (full-text article views including HTML views, PDF and ePub downloads, according to the available data) and Abstracts Views on Vision4Press platform.
Data correspond to usage on the plateform after 2015. The current usage metrics is available 48-96 hours after online publication and is updated daily on week days.
Initial download of the metrics may take a while.