Free Access
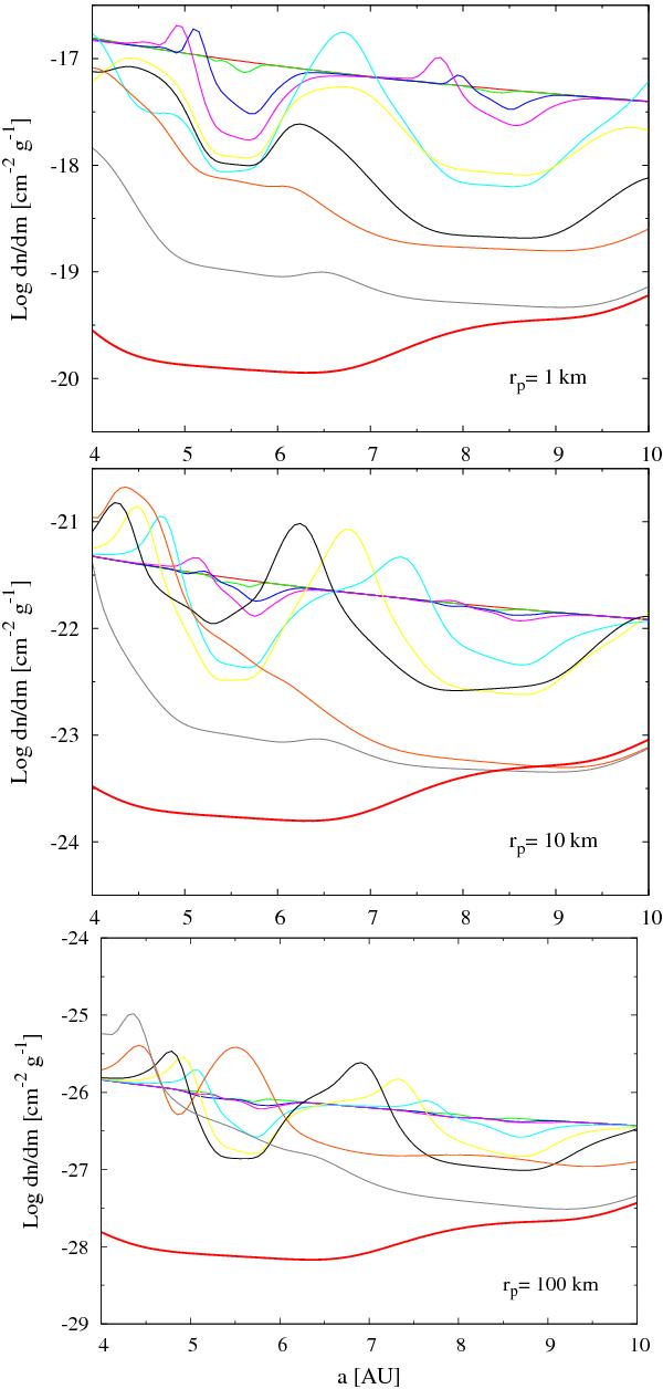
Fig. 7

Same as Fig. 6 but for planetesimals with radii larger than 1 km. In this case the shape of the density wave is well defined. The density wave increases the surface density of solids to values that are even higher than the initial ones (color figure only available in the electronic version).
This figure is made of several images, please see below:
Current usage metrics show cumulative count of Article Views (full-text article views including HTML views, PDF and ePub downloads, according to the available data) and Abstracts Views on Vision4Press platform.
Data correspond to usage on the plateform after 2015. The current usage metrics is available 48-96 hours after online publication and is updated daily on week days.
Initial download of the metrics may take a while.