Free Access

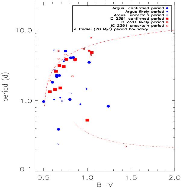
Fig. 5

thumbnail

The same as Fig. 4, but for Argus/IC 2391 association. The dashed and dotted lines represent mathematical functions describing the loci of the upper and lower bounds of the period distribution of α Persei members according to Barnes (2003).

Current usage metrics show cumulative count of Article Views (full-text article views including HTML views, PDF and ePub downloads, according to the available data) and Abstracts Views on Vision4Press platform.

Data correspond to usage on the plateform after 2015. The current usage metrics is available 48-96 hours after online publication and is updated daily on week days.

Initial download of the metrics may take a while.