Fig. 1

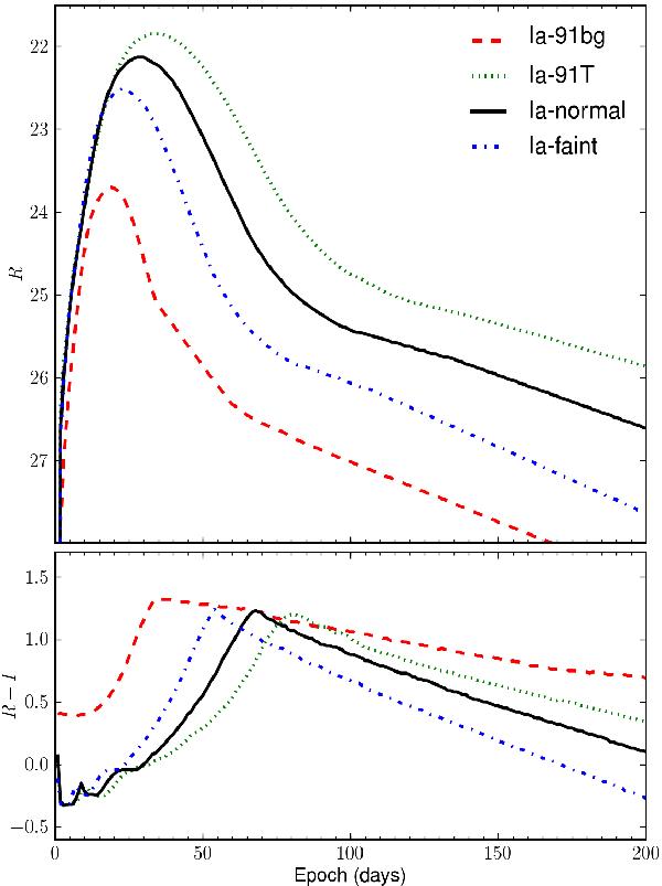
Template light curves for the four thermonuclear supernova types at z = 0.5. The upper panel shows the R light curve for the Ia-normal subtype as solid (black), the Ia-faint subtype as dash-dotted (blue), the 91T-like subtype as dotted (green) and the 91bg-like subtype as dashed (cyan). In the lower panel the R−I colour evolution for the four subtypes is shown using the same line styles (this figure is available in colour in the electronic version of the article).
Current usage metrics show cumulative count of Article Views (full-text article views including HTML views, PDF and ePub downloads, according to the available data) and Abstracts Views on Vision4Press platform.
Data correspond to usage on the plateform after 2015. The current usage metrics is available 48-96 hours after online publication and is updated daily on week days.
Initial download of the metrics may take a while.