Free Access

Fig. 2

thumbnail

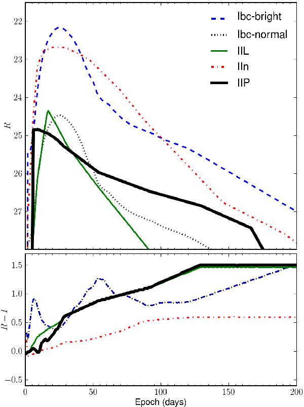
Template light curves for the five core-collapse supernova types at z = 0.5. The upper panel shows the R light curve for the IIP subtype as thick solid (black), the IIn subtype as dash-dotted (red), the IIL subtype as solid (green), the Ibc-normal subtype as dotted (black) and the Ibc-bright subtype as dashed (blue). In the lower panel the R − I colour evolution for the five subtypes are shown using the same line styles (this figure is available in colour in the electronic version of the article).

Current usage metrics show cumulative count of Article Views (full-text article views including HTML views, PDF and ePub downloads, according to the available data) and Abstracts Views on Vision4Press platform.

Data correspond to usage on the plateform after 2015. The current usage metrics is available 48-96 hours after online publication and is updated daily on week days.

Initial download of the metrics may take a while.