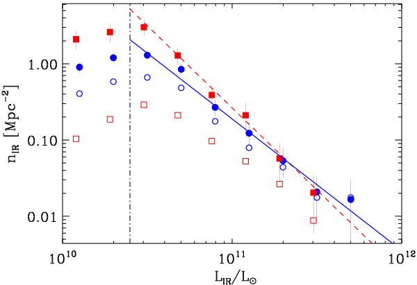
Fig. 10

The IR LF of A1763. Filled and empty symbols represent the counts after and, respectively, before purity and completeness corrections. Counts have been multiplied by the fractions of non-AGN galaxies in each LIR-bin (see Fig. 5) to remove the AGN contribution from the IR LF. Blue dots (respectively, red squares) represent the counts based on the z ∪ zp (respectively, z) sample. 1σ error bars based on 100 bootstrap re-samplings are shown. The square symbols have been displaced by − 0.02 in log LIR for clarity. The vertical dash-dotted line indicates the LIR lower limit (LIR/L⊙ = 2.5 × 1010) that corresponds to the 0.2 mJy flux density limit adopted for the determination of the IR LF. The solid blue (respectively dashed red) line represents the power-law best-fit to the IR LF represented by the blue filled dots (respectively, red squares) with LIR/L⊙ ≥ 2.5 × 1010.
Current usage metrics show cumulative count of Article Views (full-text article views including HTML views, PDF and ePub downloads, according to the available data) and Abstracts Views on Vision4Press platform.
Data correspond to usage on the plateform after 2015. The current usage metrics is available 48-96 hours after online publication and is updated daily on week days.
Initial download of the metrics may take a while.