Free Access

Fig. 16

thumbnail

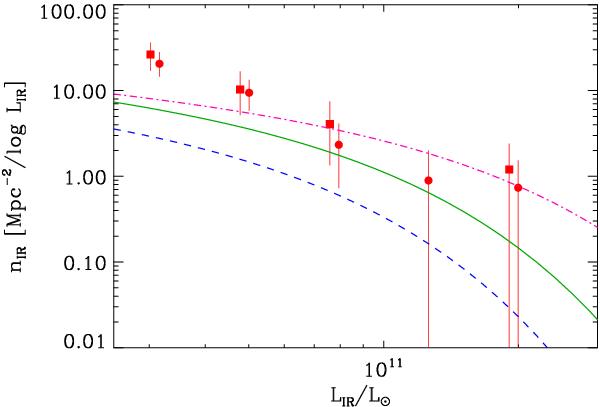
The IR LF of the A1763 core region (same as in Fig. 12; filled red dots: z ∪ zp sample; filled red squares – slightly displaced along the x-axis for clarity – : z-only sample; 1σ error bars), compared to the best-fit Schechter IR LF of Bai et al. (2009, solid green curve), Chung et al. (2010, dash-dotted pink curve), and Tran et al. (2009, dashed blue curve). Note that the Schechter IR LFs have been corrected to take into account the different survey areas and the different cluster redshifts, as described in the text.

Current usage metrics show cumulative count of Article Views (full-text article views including HTML views, PDF and ePub downloads, according to the available data) and Abstracts Views on Vision4Press platform.

Data correspond to usage on the plateform after 2015. The current usage metrics is available 48-96 hours after online publication and is updated daily on week days.

Initial download of the metrics may take a while.