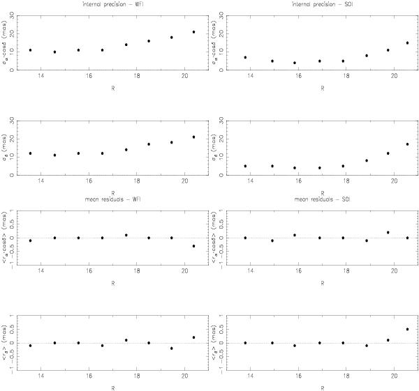
Fig. 3

Mean values of the internal precision to all objects (four upper panels) and mean values of the residuals from the iterative process (four lower panels) as described in Sect. 3 as a function of the magnitude. Each dot represents the mean of at least 13 000 points for the WFI (left panels) and 190 points for the SOI (right panels). The difference between the magnitudes of the points associated to a given dot do not exceed one. The corresponding magnitude in the X-axis is the respective mean magnitude.
Current usage metrics show cumulative count of Article Views (full-text article views including HTML views, PDF and ePub downloads, according to the available data) and Abstracts Views on Vision4Press platform.
Data correspond to usage on the plateform after 2015. The current usage metrics is available 48-96 hours after online publication and is updated daily on week days.
Initial download of the metrics may take a while.