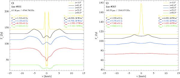
Fig. 15

Unusual behaviour of the [O i] lines in some disc models. For massive discs with settled dust distribution, the fundamental [O i] 63 μm line may go into central absorption (l.h.s.) whereas the [O i] 145 μm line stays in emission (r.h.s.), which complicates the data interpretation. Model parameters M ⋆ = 2 M⊙, age = 3 Myr, (Teff = 4960 K, L ⋆ = 3.66 L⊙), fUV = 0.001, Mgas = 0.1 M⊙, dust/gas = 0.01, Rin = 17.8 AU, Rout = 500 AU, ϵ = 0.5, β = 1.0, s = 0.5, amin = 1 μm.
Current usage metrics show cumulative count of Article Views (full-text article views including HTML views, PDF and ePub downloads, according to the available data) and Abstracts Views on Vision4Press platform.
Data correspond to usage on the plateform after 2015. The current usage metrics is available 48-96 hours after online publication and is updated daily on week days.
Initial download of the metrics may take a while.