Free Access
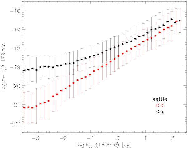
Fig. 21

Ortho-H2O 179 μm line flux versus continuum 160 μm flux for massive disc models with Mgas ≥ 0.01 M⊙. Colour coded is the settling parameter: s = 0 denotes homogeneously mixed models, s = 0.5 denotes models in which the dust grains have settled to a smaller scale height .
Current usage metrics show cumulative count of Article Views (full-text article views including HTML views, PDF and ePub downloads, according to the available data) and Abstracts Views on Vision4Press platform.
Data correspond to usage on the plateform after 2015. The current usage metrics is available 48-96 hours after online publication and is updated daily on week days.
Initial download of the metrics may take a while.