Free Access
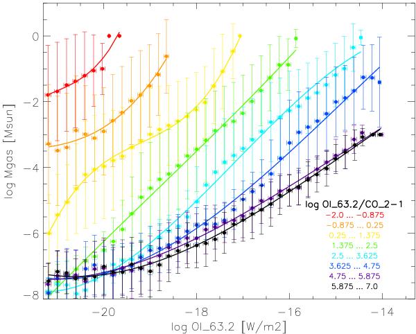
Fig. 24

Correlation between the gas mass in the disc and the [O i] 63 μm line. The second relevant parameter, the average gas temperature, is colour coded through the [O i] 63/CO 2 − 1 line ratio. A selection is made for CO 2 − 1 fluxes greater than 10-23 W m-2. The coloured lines are polynomial fits of 3rd order to the data.
Current usage metrics show cumulative count of Article Views (full-text article views including HTML views, PDF and ePub downloads, according to the available data) and Abstracts Views on Vision4Press platform.
Data correspond to usage on the plateform after 2015. The current usage metrics is available 48-96 hours after online publication and is updated daily on week days.
Initial download of the metrics may take a while.