Free Access
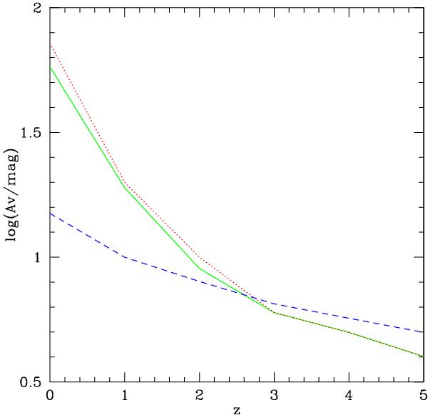
Fig. 4

The visual extinction AV as a function of redshift for the second epoch SED of GRB 100615A. Green solid, red dotted, and blue dashed lines are for the Milky Way, Small Magellanic Cloud, and starburst extinction recipes, respectively.
Current usage metrics show cumulative count of Article Views (full-text article views including HTML views, PDF and ePub downloads, according to the available data) and Abstracts Views on Vision4Press platform.
Data correspond to usage on the plateform after 2015. The current usage metrics is available 48-96 hours after online publication and is updated daily on week days.
Initial download of the metrics may take a while.