Free Access

Fig. 14

thumbnail

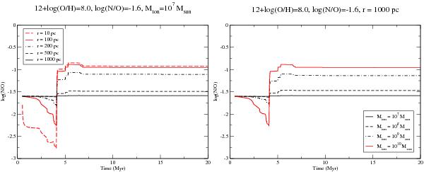
Evolution of the N/O for a spherical gaseous distribution of constant density with an initial metallicity of 12 + log (O/H) = 8.0 and log (N/O) =  −1.6, which is polluted by the stellar winds coming from a stellar cluster with Z = 0.004. To the left, we show the effects of a cluster of mass log (M/M) = 7 for different radii of the distribution. To the right, we show the effects of clusters of different stellar masses on a gaseous distribution with a radius of 1 kpc. Stellar wind yields were taken from Mollá & Terlevich (in prep.).

This figure is made of several images, please see below:

Current usage metrics show cumulative count of Article Views (full-text article views including HTML views, PDF and ePub downloads, according to the available data) and Abstracts Views on Vision4Press platform.

Data correspond to usage on the plateform after 2015. The current usage metrics is available 48-96 hours after online publication and is updated daily on week days.

Initial download of the metrics may take a while.