Free Access

Fig. 3

thumbnail

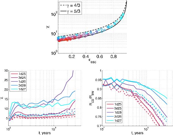
Top panel: Rankine-Hugoniot relation in Eq. (6) and data points from all the numerical models. The shade of the symbols reflects the efficiency of CR acceleration. Bottom rowleft panel shows evolution of compression ration χ, right panel shows evolution of contact discontinuity to blast wave radii ratio, ρ0 = 10-24   g   cm-3. Dashed lines show models with qCR = 0.7, solid lines – qCR = 0.9. Different colors indicate different values of the diffusion coefficient (see legend, where κCR values are given in units of cm2   s-1).

This figure is made of several images, please see below:

Current usage metrics show cumulative count of Article Views (full-text article views including HTML views, PDF and ePub downloads, according to the available data) and Abstracts Views on Vision4Press platform.

Data correspond to usage on the plateform after 2015. The current usage metrics is available 48-96 hours after online publication and is updated daily on week days.

Initial download of the metrics may take a while.